常德农商银行抵债资产处置公告(第六期)


 

常德农商银行现有优质抵债资产对外公开出售,具体情况如下:

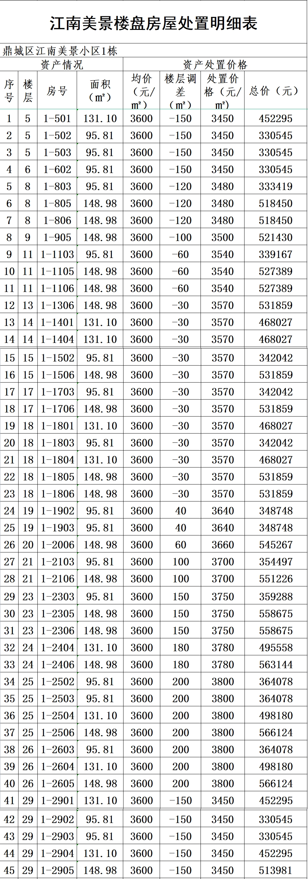
标的描述:常德农商银行名下位于鼎城区江南美景小区1栋45套商品房对外公开出售,户型周正,面积从95㎡—149㎡不等。

该小区系成熟小区,紧邻鼎城一中、淮阳中学、江南小学、鼎城体育馆,位置优越,交通便利,性价比高,欢迎品鉴、垂询!

标的地址:  江南美景:湖南省常德市鼎城区319线与善池路交叉口东160米

温馨提示:以上资产产权清晰,手续齐全,欢迎来电咨询,非诚勿扰。

联系人:向经理 13607368877






常德农村商业银行股份有限公司

2023年9月1日


详情如下:

总行地址:湖南省常德市武陵区朗州路137号(朗州路与建设路交汇处)邮编:415000

©版权所有 常德农村商业银行股份有限公司 本网站支持ipv6访问

湘公网安备 43070202000613号 | 湘ICP备17001312号-1

订阅号 服务号

扫码关注服务号